近日,中国科大国家同步辐射实验室吴自玉教授领导的研究小组和陈仙辉领导的小组利用X射线吸收谱学,在三维原子尺度上研究了铁基超导材料的同位素效应,取得了重要进展。这一成果发表在4月29日自然出版集团(NPG)的Scientific Reports(科学报告)上。
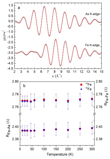
自2008年铁基超导材料被发现以来,一直是凝聚态物理的重要研究热点之一。然而对铁基超导机制的理解存在着广泛的争议。继我校陈仙辉教授研究组和吴自玉研究组利用Tc和磁测量首次发现铁基超导材料的同位素效应之后【Nature 459, 64-67 (2009)】,他们又利用新发展的同位素微观效应的温度依赖EXAFS探测方法,研究了铁基超导材料的同位素效应的微观机制。最新的研究指出,对于
超导体,同位素掺杂对Fe-As和Fe-Fe的平均健长和静态分布几乎没有影响,但调制它们的热无序分布;通过关联爱因斯坦模型可以精确获取不同铁同位素样品的Fe-As和Fe-Fe特征振动频率,从而测定了Fe-As和Fe-Fe局域晶格振动的同位素效应因子。这种微观方法测得的同位素效应因子与电阻和磁化率测量的同位素指数基本相同,进一步表明电-声子相互作用在
的超导机制中扮演着重要作用。同时,Fe-Fe和Fe-As振动分别分布于不同的垂直平面,它们几乎有相当的同位素效应,表明
具有与铜基高温超导材料不同的三维超导特性。


同步辐射光源具有高分辨率、高单色性、强穿透性、宽频谱等优异特性,已成为前沿科学研究的重要平台。吴自玉研究组发展的一系列的基于同步辐射装置的新方法和新技术,可用于研究超导材料、磁性材料以及各种低维材料的微观局域电子/ 原子结构。
本项目获得中国科学院知识创新工程和国家自然科学基金委的资助。
论文链接:http://www.nature.com/srep/2013/130429/srep01750/pdf/srep01750.pdf
(国家同步辐射实验室)