中国科学技术大学郭光灿院士团队在量子物理基本问题研究中取得新进展,该团队李传锋、许金时等人与其合作者利用玻姆动量概率分布来量化杨氏双缝中“which-way” 测量对光子动量产生的扰动,首次实验观测到非局域的动量传递,验证了光子动量改变量与干涉条纹可见度之间的量化关系。该研究成果于2019年6月14日发表在国际权威期刊《科学?进展》(Science Advances)上。
在杨氏双缝实验中,当人们对光子进行“which-way” 测量来识别它具体从哪个狭缝通过时,不可避免地会破坏干涉条纹的可见度。然而,关于“which-way” 测量是否通过扰动粒子的动量来破坏杨氏双缝干涉这一问题一直存在激烈争论。为了更深入地研究波粒二象性,就需要找到一个更加普适的方法来量化光子的动量变化。幸运的是玻姆力学提供了解决这一问题的方法。关于量子力学的解释有很多种,常见的量子力学书中讲授的只是哥本哈根学派的解释。著名物理学家和科学思想家戴维·玻姆对于哥本哈根学派的解释很不满意,于1950年代提出了关于量子力学的一种新的解释。在玻姆理论中,粒子在任意时刻都具有明确的位置和动量,它沿着一条确定的轨迹演化。因此即使粒子的初态不是动量的本征态,我们仍然可以计算出粒子的动量改变量。此外粒子的平均轨迹在实验上可以用弱测量的方法重构出来。
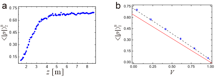
基于玻姆理论,利用弱测量技术,李传锋、许金时等人在原来实现光子轨迹非局域导引[Optics Express 25, 14463-14472 (2017)]的基础上,进一步重构了经过杨氏双缝干涉装置并传播至8.6米处的光子玻姆轨迹。然后采用澳大利亚合作者Howard M. Wiseman提出的玻姆动量概率分布来量化路径探测过程中光子的动量改变量。通过对比有无“which-way” 测量时的光子动量,研究组观测到光子总的动量改变量的绝对值在近场时很小,但是会随着传播距离的增加而增加,展现了非局域的动量累加过程。在远场时,研究组进一步验证了粒子动量改变量的绝对值与干涉条纹可见度之间的量化关系。实验结果表明随着动量改变量的增加,干涉条纹可见度将随之下降。

a)动量传递过程;b)动量改变量与可见度的关系
这项工作表明在杨氏双缝实验中引入“which-way” 测量时,玻姆理论提供了一种有效方法用来实验检验“光子轨迹”。这对量子力学基础问题的研究具有重要意义并且有助于加深人们对波粒二象性和互补原理的理解。
文章的第一作者是中科院量子信息重点实验室2018年毕业的研究生肖芽。该工作得到了科技部、国家自然科学基金委、中科院和安徽省的资助。
文章链接:https://advances.sciencemag.org/content/5/6/eaav9547.full
(中科院量子信息重点实验室、中科院量子信息和量子科技创新研究院、科研部)