我校郭光灿院士团队在量子精密测量研究中取得重要进展。该团队李传锋、项国勇研究组与香港中文大学袁海东教授在一般非对易信道参数测量中,通过量子控制主动调控非对易的量子信道,国际首次以海森堡精度实现一般非对易信道参数的测量。该研究成果于7月26日在线发表在国际权威期刊《物理评论快报》上。
精密测量是科学与技术发展的主要驱动力。当前,传统精密测量技术中最先进的激光干涉引力波天文台(LIGO)已经达到了传统方法的精度极限,受到了标准量子精度极限(也称散粒噪声极限)的限制。新一代量子精密测量技术可以打破传统方法中的散粒噪声限制,可以达到海森堡精度极限。目前这种量子精密测量技术已经在最简单对易信道-参数取不同值时对易的信道称为对易信道-条件下的光学相位测量实验中成功实现。但是,实际测量任务中,信道对易的条件一般并不满足,非对易信道(参数取不同值时不对易的信道)无处不在,例如物体方向测量、量子陀螺仪、量子门层析等等。然而,非对易信道的量子精密测量具有迥异于对易信道测量的特点,例如量子精密测量的直接顺序测量方法可以在对易信道中达到海森堡精度极限,但是在非对易信道中的精度甚至达不到传统方法中的散粒噪声精度极限。
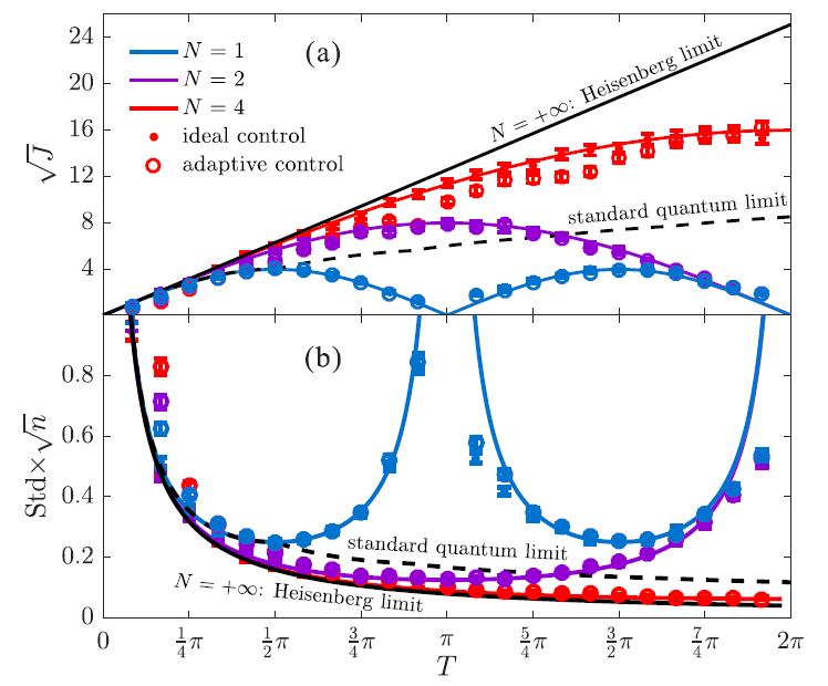
项国勇等人在实验中通过引入量子控制把非对易的量子信道调控为对易量子信道,在国际上首次实现对一般非对易信道参数测量中达到海森堡精度极限。然而这里的最优控制一般需要自适应更新得到,他们从理论上找到了最优自适应无需更新的特殊时间点,这进一步提高了实验的扩展性,在光学体系下成功完成了八次控制增强的顺序测量,实验精度趋于海森堡精度极限。此外,他们还找到了这种方法的直观物理图像,揭示了顺序测量中每份资源中的有效信息是如何相干积累的,确定了量子控制在调控这些有效信息相干相长积累过程中的作用。

控制增强的次序测量示意图,物理几何图像以及部分实验结果
相比于以前测量对易信道参数精密测量的实验工作,该工作为更一般信道参数测量达到海森堡精度极限开辟了道路,也发展了利用量子控制调控量子信道从而提高量子精密测量精度的新方向。
论文的第一作者为中科院量子信息重点实验室副研究员侯志博,通讯作者为项国勇教授和香港中文大学袁海东教授。该项研究得到了科技部、国家自然科学基金委、中科院和教育部的支持。
(中科院量子信息重点实验室、中科院量子信息和量子科技创新研究院、科研部)
论文链接:https://journals.aps.org/prl/abstract/10.1103/PhysRevLett.123.040501