中国科学技术大学中国科学院微观磁共振重点实验室杜江峰、石发展等人在固态体系中开展了首个类原子缺陷全同性检验的工作,频率检验精度达赫兹级,基于这一结果提出了新型固态原子钟方案。该成果以“Identity Test of Single NV?Centers in Diamond at Hz-Precision Level”为题发表在近期《物理评论快报》上[Physical Review Letters127, 053601(2021)]。
精密测量是人类深化认知自然界的重要手段,诸如基本物理规律检验、基本物理常数测量、原子钟和引力波探测等领域都以精密测量为基础。而粒子的全同性是开展高精度测量的前提,人们倾向于相信诸如光子、电子、原子等粒子天然就是全同的,这不仅是因为人类相信自然应该是简单的,大量的实验证据也暗示如此。但是,对于固体中的类原子缺陷,由于固态晶格的复杂性,人们通常不认为它们是全同的。亦是由于固态晶格的复杂性,高精度的实验测量和理论分析存在极大的困难,若想在室温大气下实现这些难度则更高。因此,目前尚未对固体中的类原子缺陷进行过高精度的全同性检验。
近十年来,金刚石中的一种类原子缺陷——氮-空位色心(NV center)得到了广泛关注。这种缺陷具有很多优良的性质,例如室温大气条件下就有很长的相干时间,可通过激光照射读出和初始化,周围存在可被利用的核自旋资源等。基于这些优势,氮-空位色心已经在量子精密测量和量子计算等领域被广泛应用。
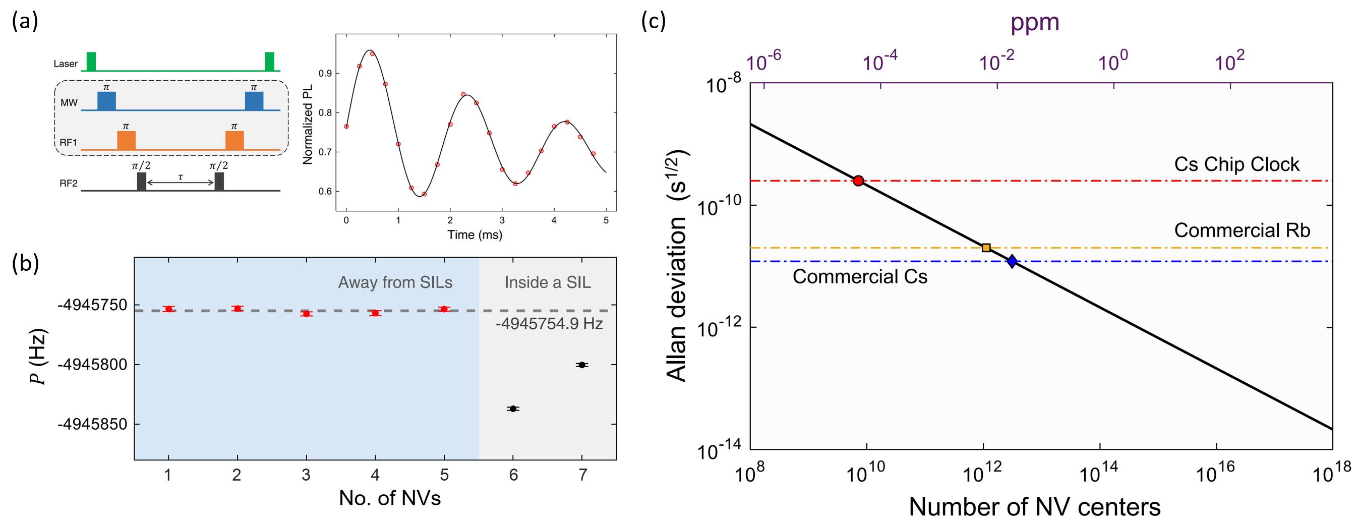
在室温大气条件下,研究组对氮-空位色心的全同性进行了赫兹级水平的检验。研究组采用拉姆齐干涉法对该系统的哈密顿量进行了测量,在赫兹级水平上对不同色心进行了比较。其中,对氮核自旋的电四极矩耦合的测量最为精确,结果为?4945754.9(8) Hz,此测量值的精度比以往实验提高了四个数量级。实验惊奇地发现,即使在室温大气条件下,不同的色心仍能在赫兹水平上表现为全同,而不均匀的晶格应力可使色心产生数十赫兹的差异。
研究组基于以上全同性检验的结果,提出了一种具有高鲁棒性和集成性特点的固态原子钟的新方案。该方案将核自旋的电四极矩耦合当做频率标准,一块1立方毫米大小的具有6 ppb色心浓度的金刚石即可达到现有商用原子钟的水平。相较于现有商用原子钟,得益于金刚石晶格的保护作用,该固态原子钟具有高鲁棒性和易于集成的特点,更适合在低温、高压、移动平台等具有挑战性的复杂环境下工作。

图:(a):实验探测序列及拉姆齐干涉结果;(b):全同性检验结果:四极矩耦合参数的测量结果,前五个为远离固体浸没透镜的色心,后两个为固体浸没透镜内的色心,在金刚石上加工固体浸没透镜会产生局域应力导致色心产生差异;(c):原子钟方案的Allan方差,黑实线为实验组提出的固态原子钟方案。

图:利用金刚石中的类原子缺陷,可以构建一种固态类原子钟。
该工作提供了一种在固态自旋中开展精密测量的方法,加深了对固态类原子缺陷的认识。未来,测量精度可在低温下进一步提升至毫赫兹水平。在应用层面上,该工作提出了一类具有高鲁棒性和集成性特点的固态原子钟,相关成果已申请专利。
中国科学院微观磁共振重点实验室博士后谢天宇、博士生赵致远、博士后郭茂森为该文并列第一作者,杜江峰院士和石发展教授为论文的共同通讯作者。此项研究得到了国家自然科学基金委、科技部、中国科学院和安徽省的资助。
论文链接:https://journals.aps.org/prl/abstract/10.1103/PhysRevLett.127.053601
(中国科学院微观磁共振重点实验室、物理学院、合肥微尺度物质科学国家研究中心、中国科学院量子信息和量子科技创新研究院、科研部)