学校主页

科研进展

2022年05月26日
中国科大在大气边界层研究方面取得重要进展

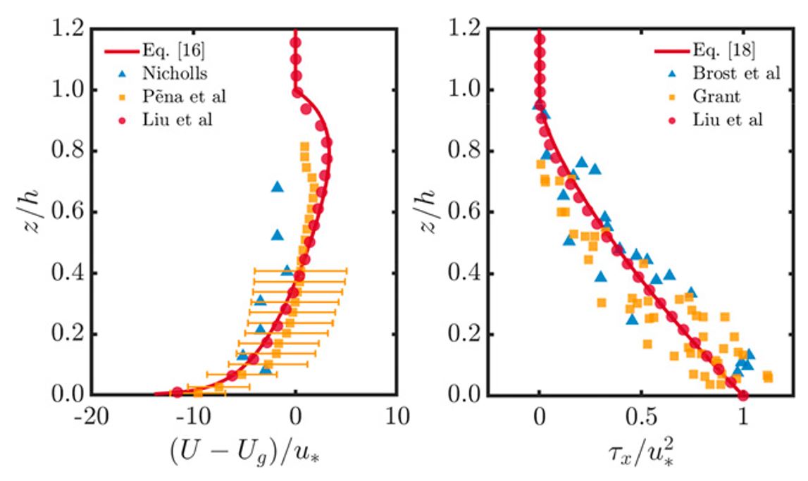
近日,中国科学技术大学工程科学学院刘罗勤特任研究员在大气边界层的理论研究方面取得突破性进展,在国际上首次获得了适用于整个常规中性大气边界层的速度、风向、湍流剪切力预测的解析表达式,其结果与高精度数值模拟和大气观测数据符合一致。该研究成果以“Vertical structure of conventionally neutral atmospheric boundary layers”为题于5月24日在线发表在《美国国家科学院院刊》(119, e2119369119, 2022, DOI: https://doi.org/10.1073/pnas.2119369119)上,相关的前期工作还发表在《物理评论快报》(126, 104502, 2021, DOI: https://doi.org/10.1103/PhysRevLett.126.104502)上,刘罗勤特任研究员均为上述论文的第一作者和通讯作者。

大气边界层是指大气层底部直接受地表影响的旋转湍流边界层,是自由大气与地表进行质量、动量和能量交换的发生地,也是风机和风电场实现风能到电能转化的所在地。由于剪切力、浮力和科氏力的相互作用,大气边界层的湍流结构极其复杂,其理论预测往往局限于表面层的平均风速分布。近年来,随着风能利用受到世界各国的高度重视,风机尺寸不断增大,未来风机叶片将主要运行在表面层以上区域,因此对表面层以上湍流风特性的研究已经成为风能科学研究的前沿热点和难点问题。

针对上述挑战,刘罗勤特任研究员系统研究了常规中性大气稳定度条件下大气边界层的结构,首次给出了在整个大气边界层中均成立的速度、风向、湍流剪切力的解析表达式,并借助于大涡模拟结果和大气观测数据验证了该理论模型的正确性。由于常规中性大气边界层常出现在海上、大型湖泊上方,以及日落后的过渡期或大风多云时的陆地上空,以上最新理论进展对于风能应用、天气预报、气候模拟等领域都具有重要的研究意义和应用价值,同时也将有助于进一步研究不同大气稳定度条件下的大气边界层结构。

常规中性大气边界层理论模型的实验和数值验证

荷兰特文特大学流体物理组Richard J. A. M. Stevens副教授为论文合作者。该研究得到了国家自然科学基金委创新研究群体等项目资助。


(工程科学学院、科研部)

  • 07.02
  • 06.28
  • 06.26
  • 06.24