中国科大实现基于粒子不可分辨性的量子相干生成和应用
我校郭光灿院士团队在量子物理基础研究中取得重要进展。该团队李传锋、许金时、孙凯等人与意大利巴勒莫大学Rosario Lo Franco教授等国际合作者通过调控光子的空间不可分辨性,实现了量子相干性的生成,并展示了其在量子计量任务中的实际应用。该成果于5月20日发表在国际知名杂志《美国国家科学院院刊》上。
量子相干性是量子力学中最基础的本质特性,它使得量子系统中会出现“薛定谔猫”等在经典视角下难以理解的现象。对于单粒子量子系统,量子相干性体现在系统处于计算基矢的叠加状态;而对于多粒子量子系统,如果这些粒子是全同粒子,则即使没有任何一个粒子处于相干叠加状态,整个量子系统也可以存在相干性。这种相干性是由于全同粒子之间波函数的空间不可分辨性所导致的。然而,针对基于粒子不可分辨性的量子相干资源,其实验研究面临两个问题:一是需要调控全同粒子之间的不可分辨性来生成具有不同相干度的量子资源,二是需要展示这种相干性在具体量子信息任务中的实际应用,从而证明它是物理上可用的量子资源,而不仅仅是描述全同粒子的特定数学形式的结果。

图1.全同粒子系统的量子相干性及其在相位通道鉴别任务中的应用实验原理示意图
李传锋、许金时、孙凯等人近年来在光学系统中持续开展关于全同粒子不可分辨性的实验研究,在前期已经实现了基于不可分辨性的量子纠缠制备及量子隐形传态[Optics Letters 45, 6410 (2020)]。在本工作中,研究组在一个偏振–路径混合编码的双光子系统中,发展了全同粒子波函数空间分布的按需调控技术,从而实现了一个可控的光子相干性合成器,生成的相干性最大的态的保真度达到98.8%。研究组进一步设计了一个相位鉴别任务,用来演示所生成的量子相干资源在量子计量学中的实际应用。实验结果表明,基于全同粒子不可分辨性的量子相干性可以提高相位鉴别的成功几率,并且能与基于单个粒子相干叠加的相干性同时存在,因此将在具体的量子信息任务中获得应用。
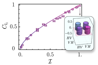
图2:相干性与不可分辨性定量关系的实验结果。插图为相干性最大的态的密度矩阵
该工作展现了全同粒子的不可分辨性可以作为一种量子资源进行物理应用,并提供了实验调控不可分辨性的方法,从而为其在量子信息任务中的进一步应用打下了基础。
审稿人高度评价该工作:“...what is really relevant is to prove a direct quantitative connection between coherence and spatial indistinguishability and the use of this coherence for metrological applications. Therefore, I believe that the results are really outstanding…”(证明相干性与不可分辨性之间存在定量的联系,并将其应用于量子计量学任务中是一个重要的成果。因此我相信实验结果的确很杰出。)
论文共同第一作者为中科院量子信息重点实验室特任副研究员孙凯博士和博士研究生刘正昊。本研究得到科技部、国家基金委、中国科学院、安徽省的支持。
论文链接:https://www.pnas.org/doi/epdf/10.1073/pnas.2119765119
(中科院量子信息重点实验室、中科院量子信息和量子科技创新研究院、科研部)