近期,中国科学技术大学地球和空间科学学院吴忠庆教授课题组在下地幔热导率和核幔边界热流分布的研究上取得重要进展,他们利用第一性原理计算与机器学习结合的方法,确定了下地幔最主要的矿物布里奇曼石及其高压相后钙钛矿的热导率,并结合课题组此前获得的下地幔矿物成分与温度分布(Deng et al., 2023 PNAS),明确了核幔边界热流分布及热通量大小。相关成果以“Thermal conductivity of Fe-bearing bridgmanite and post-perovskite: Implications for the heat flux from the core”为题发表在国际知名地学期刊《Earth and Planetary Science Letters》上。
核幔边界热流是理解地球的结构和演化的基本参数。它在地磁极倒转、地磁场强度变化、内核的结构与生长速度、外核热分层以及核幔边界的最显著的异常结构体(大剪切波低速省)稳定性等方面都起关键作用。核幔边界热量由下地幔底部的热导率乘以温度梯度获得。高温高压下矿物热导率的测量仍是高压领域最困难和复杂的课题之一。
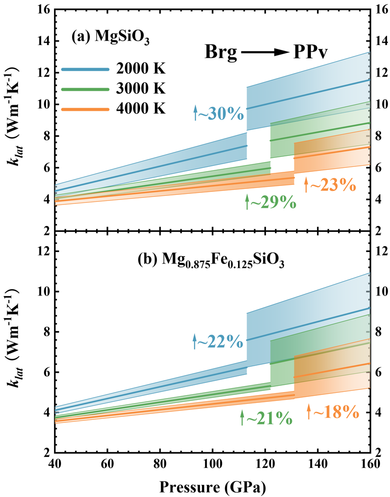
第一性原理计算能容易实现高温高压,是研究热导的重要手段。以往常用三阶力常数解玻尔兹曼输运方程去获得矿物的热导率,更高阶的力常数在许多体系中的影响是不可忽略的,但其计算通常极其费时。分子动力学方法可以隐式地考虑所有力常数,但面临着尺寸效应,只有足够大的模拟体系才能产生可靠的结果。然而由于计算量的限制,第一性原理分子动力学只能处理具有几百个原子的小体系。针对这一问题,研究团队采用第一性原理计算与机器学习结合的框架,发展了高温高压热导的高效计算方法(Wang et al., 2022 GRL),利用第一性原理数据训练机器学习原子相互作用势,在基本保持第一性原理精度的同时进行了数万原子的分子动力学模拟,从而有效地解决了尺寸效应,获得了可靠的热导率结果。在下地幔底部,12.5mol%的铁使布里奇曼石和后钙钛矿的热导率分别降低10%和14%,布里奇曼石到后钙钛矿的相变将使热导率增加20%-30%(图1)。
核幔边界热导受控于核幔边界矿物相、成分和温度。课题组之前在这方面开展了深入研究,利用发展的高效弹性计算方法,获得了下地幔相关矿物的高温高压弹性数据,采用蒙特卡罗模拟方法反演了下地幔包括核幔边界的三维的物质成分、温度和密度分布 (Deng et al., 2023 PNAS),结合该结果,研究团队确定了核幔边界热导率和温度梯度分布,从而得到了核幔边界热流分布(图2)。由于高温的大剪切波低速省(LLSVP)降低了其内部矿物的热导率以及由LLSVP到地核的温度梯度,使得LLSVP区域具有极低的热流值,这导致了极不均一的热流分布。由热流分布积分得到的核幔边界热通量为7.1±0.5 TW。研究团队进一步基于能量守恒限定出内核的年龄为0.75±0.35 Ga,支持近些年认为内核十分年轻的观点。该研究获得的布里奇曼石及后钙钛矿的热导率、核幔边界热流分布以及热通量大小对理解地核地幔耦合演化、地磁发电机运转等具有重要意义。

图1. 后钙钛矿相变对Mg(1-x)FexSiO3热导的影响

图2.(a)核幔边界热导率分布;(b)核幔边界温度梯度分布;(c)核幔边界热流分布。
论文第一作者为中国科学技术大学博士生王冬,通讯作者为吴忠庆教授,合作者为博士生邓忻。该研究受到国家自然科学基金以及中央高校基本科研业务费专项资金等项目的资助。计算工作主要在中国科大超级计算中心和合肥先进计算中心完成。
论文链接:https://www.sciencedirect.com/science/article/abs/pii/S0012821X23003813
相关论文:
Deng, X., Xu, Y., Hao, S., Ruan, Y., Zhao, Y., Wang, W., et al. (2023). Compositional and thermal state of the lower mantle from joint 3D inversion with seismic tomography and mineral elasticity.Proceedings of the National Academy of Sciences, 120(26), e2220178120.https://doi.org/10.1073/pnas.2220178120
Wang, D., Wu, Z., & Deng, X. (2022). Thermal Conductivity of Hydrous Wadsleyite determined by Non-equilibrium Molecular Dynamics based on Machine Learning.Geophysical Research Letters, 49(22), e2022GL100337.https://doi.org/10.1029/2022GL100337
(地球和空间科学学院、科研部)