中国科学技术大学天文学系蔡振翼副教授和王俊贤教授,通过研究类星体中心超大质量黑洞吸积的极紫外辐射能谱,发现其与类星体本征亮度无关,推翻了该领域的传统认识,他们进一步发现类星体的平均极紫外能谱远比经典吸积盘理论预期更软,对经典吸积盘辐射模型给出了严重挑战,有力地支持了具有普遍盘风的吸积模型。10月5日,相关成果以“A universal average spectral energy distribution for quasars from the optical to the extreme ultraviolet”为题的研究长文,在线发表于《自然·天文学》(Nature Astronomy)期刊。
类星体是一类非常明亮的河外天体,其中心的超大质量黑洞持续吞噬所处星系核心区域的气体。巨大的引力势在气体形成的吸积盘上得以释放,转化为热能和电磁辐射,使得星系核心异常明亮。类星体也因其超高的本征亮度而被称为宇宙中的“超级巨兽”。标准吸积盘理论表明,吸积盘产生著名的“大蓝包”辐射特征,理论预期峰值在极紫外波段。中心黑洞质量越大,理论预期吸积盘温度越低,极紫外能谱越软。观测上发现,越亮的类星体(黑洞质量越大)具有相对越弱的发射线(可由更软的极紫外能谱解释),即著名的Baldwin效应,也似与经典吸积盘理论模型一致。

图1.黑洞吸积盘示意图/图源:pixabay
蔡振翼副教授和王俊贤教授的研究直接聚焦于大样本类星体的光学-极紫外能谱,该项研究利用地面SDSS和空间GALEX的观测数据,控制极紫外探测不完备度的影响,发现类星体的平均极紫外能谱不依赖于本征亮度,不仅表明本征亮度差异无法解释Baldwin效应(图2),还显著挑战了标准吸积盘理论预言。同时,作者给出了Baldwin效应的可能新物理起源:越明亮的类星体,其吸积盘热涨落越小,从而无法产生较多的发射线区云团。

图2.研究发现类星体的极紫外能谱斜率(右坐标轴,空心数据点)与本征亮度无关,无法解释Baldwin效应(左坐标轴,实心数据点)。
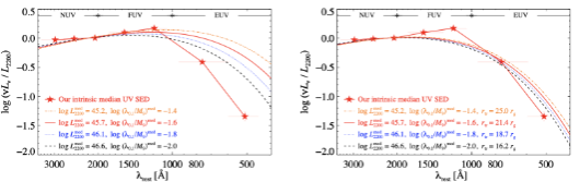
通过改正星系际介质吸收的影响,该研究还发现,类星体的极紫外平均能谱比所有前人的研究结果都更软,对标准吸积盘模型给出了进一步严重挑战(图3左)。这个超软的、不依赖于本征亮度的极紫外能谱很好地契合具有盘风的吸积盘模型预言(图3右),表明类星体中普遍存在盘风。

图3. 类星体的本征光学-极紫外平均能谱(红色数据点),比标准吸积盘预言显著更软(左图),而与盘风模型预言相吻合(右图)。
该项研究结果对深入理解大质量黑洞吸积物理、黑洞质量增长、宇宙再电离、宽线区物理起源、极紫外尘埃消光等诸多方面具有广泛影响。未来,中国巡天空间望远镜(CSST,http://nao.cas.cn/csst/)等具备紫外探测能力的卫星项目将极大提升人们对类星体诸多物理本质的认识。
该项研究得到科技部国家重点研发计划、国家自然科学基金委、双一流建设青年创新重点基金、中国载人航天工程和唐仲英基金会等资助。
论文链接:https://www.nature.com/articles/s41550-023-02088-5
(物理学院、科研部)