中国科大沈延安课题组在研究雾霾的物质来源和形成机制上取得重要进展。研究人员系统采集了华北不同地质时代代表性煤矿的煤样品,开展了1000℃条件下煤的燃烧实验;通过对燃烧产生颗粒物中硫酸盐的高精度硫同位素分析,研究人员发现了典型的非质量硫同位素分馏现象。与现代雾霾硫酸盐的硫同位素比较分析表明,煤燃烧产生的颗粒物是华北雾霾的主要物源之一。同时,该研究还对欧洲文物、古建筑和雕像表层黑色硫酸盐壳的形成提出了新的解释,对历史遗迹保护具有重要参考意义。相关研究成果在线发表于12月10日出版的国际综合学术期刊《美国科学院院刊》(PNAS)上。
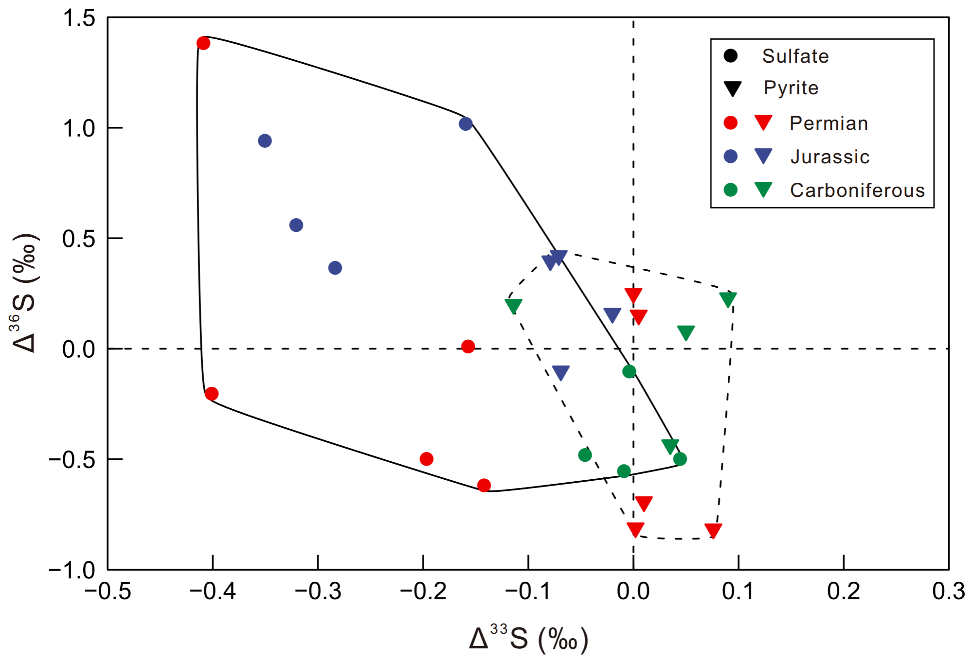
受人类活动和自然条件的共同影响,当今大气污染情况严重,其中雾霾天气严重影响了经济发展和人类健康,因此研究雾霾的物质来源和形成机制具有重要的理论和现实意义。研究人员首先对不同地质时代的煤进行燃烧实验,进而收集粒径小于2.5微米的颗粒物样品并对其中的硫酸盐组分进行高精度硫同位素测试。结果显示,煤和其燃烧产物的硫同位素组成具有显著差异(如图1);结合理论计算,研究人员发现煤燃烧产生了非质量硫同位素分馏。前人的研究表明,非质量硫同位素分馏主要出现在22亿年之前的岩石样品中,因此煤的燃烧代表了一种新的非质量硫同位素分馏机制,具有重要的理论意义。

图1 煤中的黄铁矿和煤燃烧产生颗粒物中硫酸盐的硫同位素组成
进一步分析发现,煤燃烧产生的颗粒物与华北雾霾颗粒物中硫酸盐的同位素组成非常相似(如图2)。前人对华北雾霾硫酸盐的硫同位素异常组成存在不同认识,而煤燃烧实验结果证明煤燃烧产生的颗粒物是华北雾霾的重要物源。研究人员还发现,相似硫同位素的异常组成也出现在欧洲文物和雕像以及古老建筑物等表面的黑色硫酸盐壳体上。20世纪60年代以来,欧洲科学家的研究证明黑色硫酸盐壳体的形成经历了复杂的物理和化学过程,其中大气污染和火山喷发均可能起到重要作用。通过硫同位素的系统分析,研究人员提出煤燃烧产物是欧洲雕像、建筑物等历史遗迹上硫酸盐壳的重要物源,这一结论与当时欧洲在工农业发展过程中大量使用煤产生的大气污染历史高度一致。

图2 现代硫酸盐气溶胶以及煤燃烧产生的颗粒物中硫酸盐的同位素组成
研究结果为雾霾的物质来源和形成机制等提供了新的研究思路和证据,为大气颗粒物污染防治政策的制定提供了新的科学依据,也充分体现了硫同位素在解析现代及历史环境方面的重要作用。
沈延安为论文的第一和通讯作者。
论文链接:https://www.pnas.org/doi/10.1073/pnas.2408199121
(地球和空间科学学院、科研部)