中国科学技术大学自旋磁共振实验室林毅恒教授等人与理论合作者华中科技大学教授吕新友、四川大学特聘副研究员宾倩合作,在量子模拟方面取得重要进展。研究团队基于束缚离子体系,实验展示了量子拉比模型中宇称对称性保护的量子现象。该项研究揭示了对称性对量子系统的重要影响,同时也为基于对称性保护的量子器件提供了新的设计思路。该研究结果于5月16日以“Experimental Observation of Parity-Symmetry-Protected Phenomena in the Quantum Rabi Model with a Trapped Ion”为题,发表在《物理评论快报》上。
对称性是物理学的核心概念之一,不仅构筑了诸多理论体系的基础,也在基础研究与实际应用之间架起桥梁。从氢原子光谱的精细结构解析,到量子相变、拓扑物态分类等前沿问题的研究,对称性始终贯穿于物理学发展的各个层面。作为描述光与物质相互作用的经典模型之一,量子拉比模型因其宇称对称性,使系统的动力学严格限制在守恒宇称的子空间中。该模型在量子光学、量子相变、临界动力学以及量子器件设计中具有广泛应用。尽管理论研究已预测宇称对称性的变化会显著影响系统行为,然而如何构建参数大范围可调的实验系统并观察与对称性紧密相关的现象是亟待研究的热点。
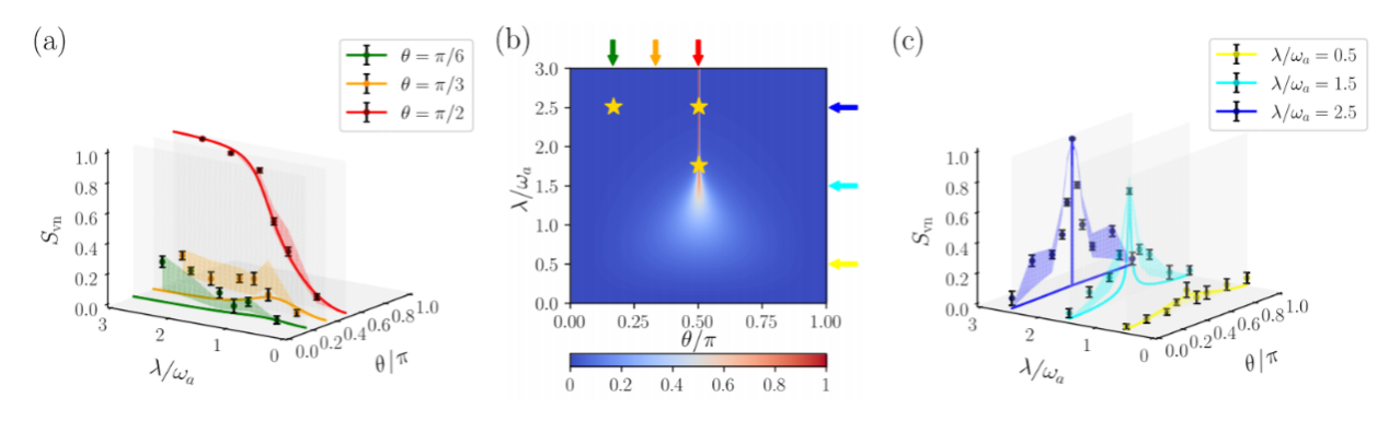
在本论文中,研究人员基于束缚离子体系中的自旋-声子耦合系统,实验模拟了一个高度可控的扩展量子拉比模型,实现了超强耦合区与深强耦合区的精确调控。一方面,提出并实现了一种直接探测系统对称性的方法。实验发现,在保持宇称对称性时,系统中出现奇数阶边带跃迁禁戒现象;而破缺对称性后,该禁戒特性消失。该方法不仅有效覆盖超强至深强耦合区,也可推广至其他物理平台;另一方面,实验还观察到系统基态的纠缠和量子叠加等现象与系统宇称对称性之间的重要关联。此外,在深强耦合区,当参数跨越对称性转变临界点时,自旋的冯·诺依曼熵与声子的维格纳函数均表现出显著的响应(如图所示),这一特性在量子精密测量和比特相干性研究等方面具有潜在应用价值。这些研究为探索对称性调控的量子现象及其在高精度量子技术中的应用开辟了新途径。

图:自旋的冯·诺依曼熵随着对称性控制参数θ以及耦合强度λ的变化关系
研究中使用的束缚离子实验系统为开展量子模拟和量子计算实验研究提供了有力支撑。基于9Be+和40Ca+实验平台,研究组还完成了多项重要的量子模拟研究工作,这些工作的研究主题包括拓扑相变[Phys. Rev. Lett. 129, 250501 (2022)],量子热机[arXiv:2404.15075],高阶奇异点[arXiv:2412.09776],量子同步现象[arXiv:2504.00751]等。
中国科学技术大学博士研究生赵兴宇和四川大学物理学院特聘副研究员宾倩为该论文共同第一作者,林毅恒、吕新友为共同通讯作者。该研究得到国家自然科学基金、科技部等支持。
论文链接:https://journals.aps.org/prl/abstract/10.1103/PhysRevLett.134.193604
(物理学院、科研部)